The topic: Veterans of the Canadian Armed Forces, or CAF, have difficulty accessing healthcare from Veterans Affairs Canada.
This information comes from Veterans Affairs Canada. It was helpful because it delineates the complex relationship that VAC and the CAF have.
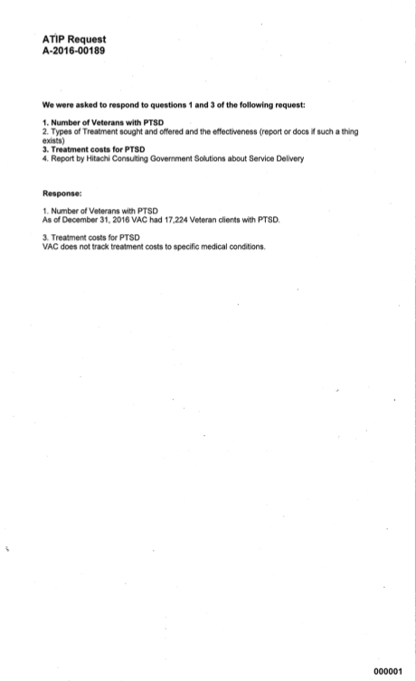
What’s new: In a document created by a third party consultation company, Hitachi Consulting Government Solutions, from March of 2015, entitled “Review Progress on Transitions from Military to Civilian Life: Transforming Veterans Affairs Canada” Hitachi Consulting reviewed the transition process from the CAF to VAC. This document was obtained by access to information laws.
The key finding of the report was that there is no one definition of “transition,” a testament to how complex the process of transferring healthcare from the CAF to VAC is. The report also found that that there has been little change in VAC with regards to veterans and their families, that veteran feedback was not observed and that there was no process to measure transition success. It also found that sharing Department of National Defence health records with VAC took too long. The system that the report describes is one that is ill designed, very slow and not effective.
What is really new about the findings in this report is that an independent third party has now confirmed findings from other government reports. There have been many reports calling for the transition process from military life to civilian life, and especially for the transfer of healthcare, to be reformed and streamlined. But many of these recommendations have not been enacted.
Why it’s important: The complexity of the transfer process can be overwhelming for veterans. The complicated process can result in delays and those delays result in ill and injured veterans not receiving the healthcare that they need. Provincial healthcare does not cover soldiers and veterans often rely on VAC for the specialized healthcare that they may require. The consequences of veterans not getting healthcare that they need can be dire. Veterans with Post Traumatic Stress Disorder have committed suicide and murder-suicide because they didn’t have proper support.
What the government says: The current Liberal government and the previous Conservative government have been very quiet with regards to this issue. Despite numerous reports and campaign promises elected officials have done nothing. While on the campaign trail Justin Trudeau promised to reinstate lifelong pensions for injured and ill veterans. To date that promise has not been fulfilled.
When asked why nothing has changed, Gary Walbourne, Ombudsman for National Defence and the Canadian Forces, said that it was an issue of bureaucracy. “I’ve been dealing with the same people as when I started, ” he said at a town hall meeting for ill and injured veterans on March 22 in Ottawa. He went on to describe a system that was resistant to change despite the fact that many of the requested changes to support veterans would not require an Act of Parliament and that it would not require very much money.
What others say: Barry Westholm is a former Sergeant Major with the Joint Personnel Support Unit, the unit that the CAF has designated to help ill and injure veterans. In a written document, his response to the Hitachi Report, he wrote that “I can state from experience that the benefits afforded injured service-members and their families while still in the CAF can be difficult for a person to understand, and in fact can cause a great deal of frustration for a military family.”
What’s next: At the town hall meeting last week many veterans expressed their distrust and dislike of VAC and the transition process. There was a lot of discussion around how to organize in order to create a better venue for having their voices heard and how to have the transition process reformed. Many options were discussed. But what was agreed upon was that they wanted no more reports. They wanted action.